|
||
全部產品分類
|
||
對比
加入企業產品庫
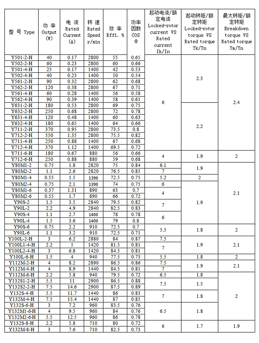
| Y-H系列船用三相異步電動機(鋁質機殼:機座號50~132) | |||
| 功率: | 0.25kW | 電壓: | 440V |
| 頻率: | 60Hz | 電機極數: | 2 |
| 效率: | 72% | 功率因數: | 0.78 |
| 最大轉矩/額定轉矩: | 2.4 | 起動轉矩/額定轉矩: | 2.2 |
| 起動電流/額定電流: | 6 | 電流: | 0.6A |
| 額定轉速: | 3300r/min | ||

| -供應商聯系方式- | |||||
|
|
公司名稱: | 德州恒寶電機有限公司 |
|
聯系人姓名: | 王經理 |
| 公司地址: | 山東省德州市經濟開發區天衢東路與中傲大道交匯處 | 聯系人電話: | 0534-8127091 | ||
| 聯系人郵箱: | dezhouhbdj@hengbaomotor.com | ||||